알림
뒤로
알림 설정
뒤로
더보기
게시물 알림
내 글 반응
내가 작성한 게시물이나 댓글에 다른 사람이 댓글이나 답글을 작성하면 알려줍니다.
공지사항
사이트에서 보내는 중요한 공지를 실시간으로 알려줍니다.
Alarm
마이페이지
로그아웃
Home
행복나눔소개
인사말
임직원소개
행복나눔사업
교육 사업
심리상담 사업
복지 사업
행복나눔 안내
행복나눔소식
알림
공지사항
교육사업 게시판
심리상담 게시판
복지사업 게시판
행사 사진
2020년 이전
활동 사진
행복나눔 실적
행복나눔 뉴스
후원자료실
후원금 내역
후원 소식
후원 신청
커뮤니티
상담신청
닫기
사단법인 한국청소년행복나눔 홈페이지
Home
행복나눔소개
인사말
임직원소개
행복나눔사업
교육 사업
심리상담 사업
복지 사업
행복나눔 안내
행복나눔소식
알림
공지사항
교육사업 게시판
심리상담 게시판
복지사업 게시판
행사 사진
2020년 이전
활동 사진
행복나눔 실적
행복나눔 뉴스
후원자료실
후원금 내역
후원 소식
후원 신청
커뮤니티
상담신청
BOOK TICKETS
사단법인 한국청소년행복나눔 홈페이지
Home
행복나눔소개
인사말
임직원소개
행복나눔사업
교육 사업
심리상담 사업
복지 사업
행복나눔 안내
행복나눔소식
알림
공지사항
교육사업 게시판
심리상담 게시판
복지사업 게시판
행사 사진
2020년 이전
활동 사진
행복나눔 실적
행복나눔 뉴스
후원자료실
후원금 내역
후원 소식
후원 신청
커뮤니티
상담신청
로그인
회원가입
사단법인 한국청소년행복나눔 홈페이지
MENU
따뜻한 손길을 기억합니다.
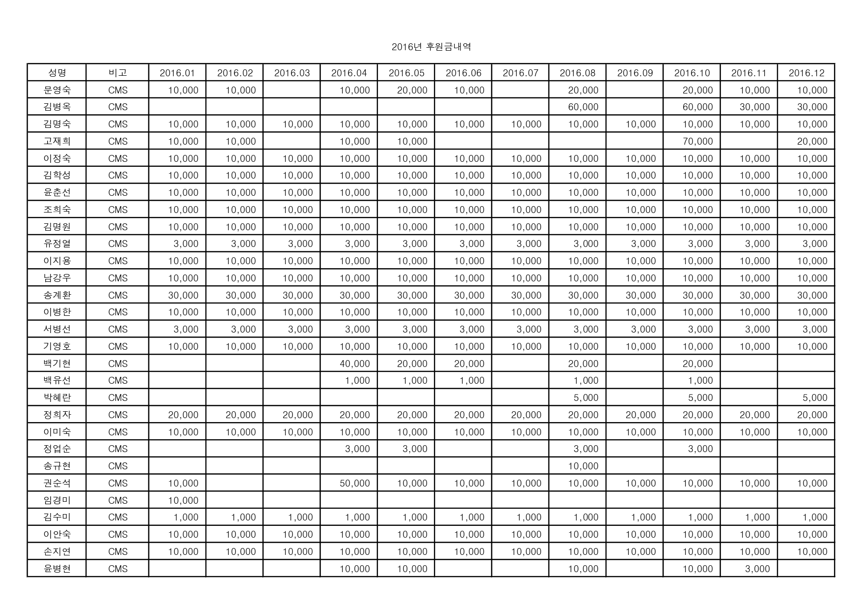
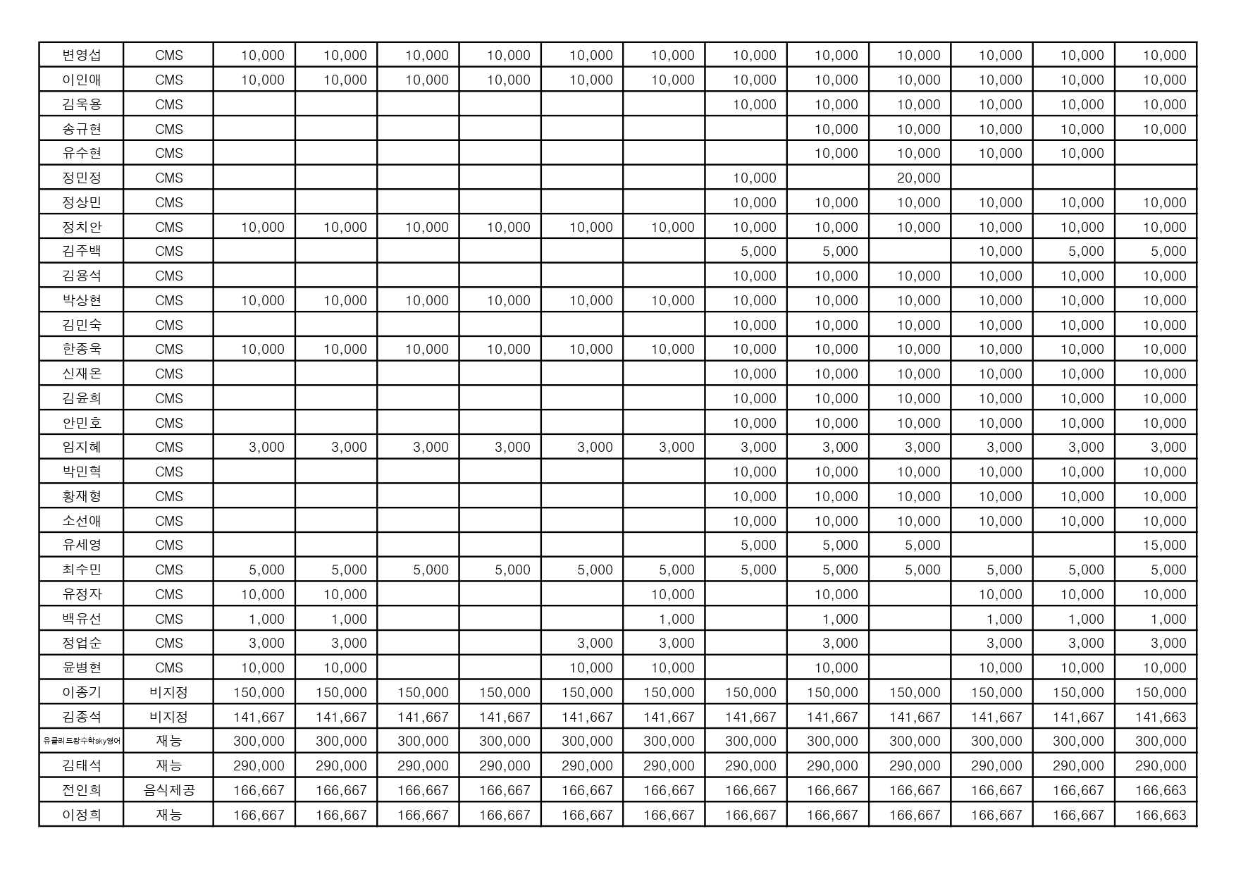
후원금 내역
2016년 후원금 현황표
관리자
후원금 내역
2024-07-30
조회수 270
0
0
작성
2017년 후원금내역
2015년 후원금내역
목록
글쓰기